Computer Algebra System, CAS hanterar symbolisk algebra men vad kan det göra, egentligen? Och ska inte eleverna lära sig göra det här för hand?
I det här inlägget i serien GeoGebra för lärare så visar jag mina personliga favoriter i CAS. Öppna CAS-fönstret med Ctrl-Shift-K så sätter vi igång.
Fakultetsberäkningar
I CAS är alla beräkningar exakta (om du inte specifikt ber om numeriska svar) och alla siffror skrivs ut korrekt i heltal. Om du beräknar fakulteten för ett tal ≥ 22 så kommer ”vanliga” GeoGebra (algebrafönstret) att ge dig ett avrundat värde medan CAS visar alla siffror korrekt. Prova att slå in 100! i CAS får du se ett ännu tydligare exempel.

Ekvationslösning
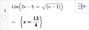
CAS är suveränt för att få exakta lösningar på ekvationer. Oavsett om det är linjära ekvationer vars lösningar lämpligen uttrycks i bråkform eller om det är andragradsekvationer eller rotekvationer så ger CAS de exakta värdena där det är möjligt.

För att lösa en ekvation kan du antingen använda kommandot Lös(…) eller skriva in ekvationen direkt och trycka på x=-knappen. Vill du ha numeriska lösningar använder du NLös(…) eller x≈.
En av mina absoluta favoriter är att definiera en funktion f och sen skriva Lös(f’ = 0). Det kommandot spar väldigt mycket jobb då du ska hitta extrempunkter. Självklart ska eleverna kunna göra sådant för hand också, men ibland kanske det är hela problemlösningen som ska tränas snarare än algebran. Det gäller ju att göra eleverna bra främst på det som datorerna INTE klarar.
Substituera in värden i formler
I fysiken jobbar du ofta med formler. Substitutionskommandot och substitutionsknappen gör det enkelt att mata in värden på kända variabler och på så sätt få en väldigt enkel ekvation som går lätt att lösa.

Här nedan ser vi dessutom exempel på hur vi refererar till tidigare rader med $1, $2 och så vidare. Det går att använda #1, #2… också men då blir referenserna inte dynamiska, det vill säga de uppdateras inte om du ändrar raden de refererar till så jag använder alltid $-tecknet.

Ändra form på uttryck
För polynom finns två huvudsakliga former: Expanderad form (normalform, summaform…) och faktorform. För andragradspolynom finns dessutom vertexform. GeoGebra har kommandon för alla dessa. Jag använder detta framför allt när jag vill visa formerna för eleverna innan de sätter sig att träna på att göra omvandlingar mellan formerna för hand. Här är en film som visar detta.

Dynamisk algebra
Skapa en glidare, n, som du ställer in så att den bara antar heltalsvärden genom att sätta dess steglängd till 1 i inställningarna.
Algebraiska uttryck som beror av n ändras då dynamiskt då du ändrar värdet på n. Det här kan till exempel användas för att visa binomialregeln.

Här är avslutningsvis lite filmer som visar andra aspekter av CAS: